下列因素中,对平均检出质量有影响的有( )。A.过程不合格品率 B.抽样方案的OC曲线C.检验费用 D.较大的样本量(相对于批量)E.检验人员数量

作者: rantiku 人气: - 评论: 0
问题 下列因素中,对平均检出质量有影响的有( )。 A.过程不合格品率 B.抽样方案的OC曲线 C.检验费用 D.较大的样本量(相对于批量) E.检验人员数量
选项
答案 AB
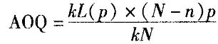
解析 平均检出质量是指检验后的批平均质量,记为AOQ。当使用抽样方案(n,Ac)抽检不合格品率为p的产品时,若检验的总批数为k,由于不接收批中的所有产品经过全检不存在不合格品,而在平均kL(p)接收批中,有(N-n)p个不合格品,因此抽样方案的平均检出质量为:。即与过程不合格品率、样本量、抽样方案的OC曲线L(p)有关。

猜你喜欢

发表评论
更多 网友评论0 条评论)
暂无评论

访问排行

Copyright © 2012-2014 恰考网 Inc. 保留所有权利。 Powered by tikuer.com

页面耗时0.0329秒, 内存占用1.03 MB, Cache:redis,访问数据库20次