某类儿童玩具的不合格率为0. 1,现用抽样方案(10, 1)对多批产品进行抽检,已知每批产品的批量为N = 1000,则:接收概率L(p)约为()。 ...

作者: rantiku 人气: - 评论: 0
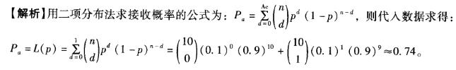
问题 某类儿童玩具的不合格率为0. 1,现用抽样方案(10, 1)对多批产品进行抽检,已知每批产品的批量为N = 1000,则: 接收概率L(p)约为()。 A. 0.5 B. 0.74 C. 0.81D.0.90
选项
答案 B
解析

猜你喜欢

发表评论
更多 网友评论0 条评论)
暂无评论

访问排行

Copyright © 2012-2014 恰考网 Inc. 保留所有权利。 Powered by tikuer.com

页面耗时0.0249秒, 内存占用1.03 MB, Cache:redis,访问数据库14次