某厂产品出厂检验采用GB/T 2828. 1,其正常二次检验方案为:已知知第一样本中发现1个不合格品,且此批产品最终被接收,则第二样本的状况为()...

作者: rantiku 人气: - 评论: 0
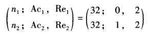
问题 某厂产品出厂检验采用GB/T 2828. 1,其正常二次检验方案为: 已知知第一样本中发现1个不合格品,且此批产品最终被接收,则第二样本的状况为()。 A.发现2个不合格品 B.发现1个不合格品 C.未发现不合格品 D.未发现合格品
选项
答案 C
解析 二次检验过程中,若第一个样本量n1中的不合格(品)数d1≤Ac1,则接收该批; 若d1≥Re1,则拒绝该批;若Ac111,则继续抽第二个样本,设第二个样本中不合格(品)数为d2,当d1+d2≤Ac2时,接收该批;当d1+d2≥Re2(=Ac2+1)时,拒绝该批。由题意,d1=1,Ac1=0,Re1=2, Ac2= 1,Re2=2,有Ac111,则继续抽第二个样本,由于产品最终被接收,因此,需满足d1+d2≤Ac2,d2≤Ac2-d1=0,所以,d2=0。

猜你喜欢

发表评论
更多 网友评论0 条评论)
暂无评论

访问排行

Copyright © 2012-2014 恰考网 Inc. 保留所有权利。 Powered by tikuer.com

页面耗时0.0406秒, 内存占用1.03 MB, Cache:redis,访问数据库18次