某经销商采用GB/T2828. 1对某类袋装食品进行抽样验收,规定N= 150,检验水平为S-2,AQL=6. 5(%)。用二次正常抽样方案抽取第一个...

作者: rantiku 人气: - 评论: 0
问题 某经销商采用GB/T2828. 1对某类袋装食品进行抽样验收,规定N= 150,检验水平为S-2,AQL=6. 5(%)。 用二次正常抽样方案抽取第一个样本,若其中的不合格品数为d =2,则( )。 A.接收该批产品 B.不接收该批产品 C.再抽样取第二个样本进行检验,若d2=0,则接收该批产品 D.再抽样取第二个样本进行检验,若d2=1,则拒收该批产品
选项
答案 B
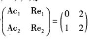
解析 对批接收性的判定规则要求:若d小于等于接收数Ac,则接收该批;若d大于等于拒收数Re,则不接收该批。二次抽样的两个方案接收性分别为:①若按方案(n,Ac) = (2, 0),则d=2>Re = Ac +1 =1,故应拒收该批产品;②若按方案n1=n2 =5,判定组数为 ,则第一次抽样不合格品数d1=2 = Re1=2,故应拒收该批产品

猜你喜欢

发表评论
更多 网友评论0 条评论)
暂无评论

访问排行

Copyright © 2012-2014 恰考网 Inc. 保留所有权利。 Powered by tikuer.com

页面耗时0.0317秒, 内存占用1.03 MB, Cache:redis,访问数据库20次