在计量抽样检验中,若产品特性值X~N(μ,σ2),σ已知。(1)给定X的上规格限TU,若X>TU,则为不合格品;(2)给定X的下规格限TL,若X为...

作者: rantiku 人气: - 评论: 0
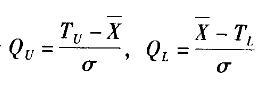
问题 在计量抽样检验中,若产品特性值X~N(μ,σ2),σ已知。 (1)给定X的上规格限TU,若X>TU,则为不合格品; (2)给定X的下规格限TL,若X为样本均值,k为规定的接收常数。 则下列表述中正确的有()。
选项
答案 AC
解析 根据题中条件,当σ已知时,,则QU或QL≥k接收;或QU或QL

猜你喜欢

发表评论
更多 网友评论0 条评论)
暂无评论

访问排行

Copyright © 2012-2014 恰考网 Inc. 保留所有权利。 Powered by tikuer.com

页面耗时0.0452秒, 内存占用1.03 MB, Cache:redis,访问数据库19次