若在每一水平下重复实验次数不同,那么方差分析仍可进行,只是在计算中应有所改动,以下需要变动的量是( )。A.因子A平方和SA B.误差e的平方和Se ...

作者: rantiku 人气: - 评论: 0
问题 若在每一水平下重复实验次数不同,那么方差分析仍可进行,只是在计算中应有所改动,以下需要变动的量是( )。 A.因子A平方和SA B.误差e的平方和Se C.总计T的平方和STD.误差e的自由度fe
选项
答案 A
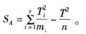
解析 若在每一水平下重复实验次数不同,假定在Ai水平下进行了mi次实验,那么方差分析仍可进行,只是在计算中有两个改动:一是此时n=Σmi,二是SA的计算公式改为:

猜你喜欢

发表评论
更多 网友评论0 条评论)
暂无评论

访问排行

Copyright © 2012-2014 恰考网 Inc. 保留所有权利。 Powered by tikuer.com

页面耗时0.1199秒, 内存占用1.03 MB, Cache:redis,访问数据库20次