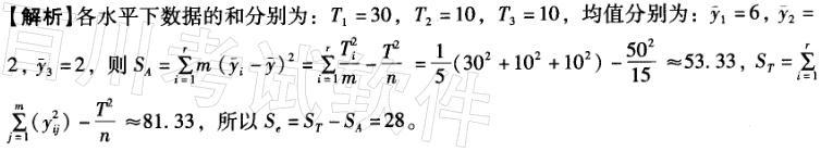
在一个单因子方差分析中,因子有3个水平,在每一水平下的试验数据如表所示,则下列结论正确的是( )。A. SA =26. 67 B. SA =53....

作者: rantiku 人气: - 评论: 0
问题 在一个单因子方差分析中,因子有3个水平,在每一水平下的试验数据如表所示,则下列结论正确的是( )。 A. SA =26. 67 B. SA =53. 33 C. Se=14 D. Se=28 E. ST=81. 33
选项
答案 BDE
解析

猜你喜欢

发表评论
更多 网友评论0 条评论)
暂无评论

访问排行

Copyright © 2012-2014 恰考网 Inc. 保留所有权利。 Powered by tikuer.com

页面耗时0.0373秒, 内存占用1.03 MB, Cache:redis,访问数据库19次