在比较三种加工方法(记为因子A)的试验中,已知三个水平下各进行了6次、5次、4次试 验,作方差分析求得的因子的平方和为155.64,误差平方和为85. 3...

作者: rantiku 人气: - 评论: 0
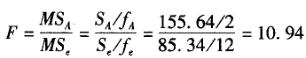
问题 在比较三种加工方法(记为因子A)的试验中,已知三个水平下各进行了6次、5次、4次试 验,作方差分析求得的因子的平方和为155.64,误差平方和为85. 34,则有( )。A. F比为 1.823 B. F比为 1.824 C. F比为 10. 94 D.若取显著性水平为0.05,那么当F0.95(2,12)时因子是显著的 E.若取显著性水平为0.05,那么当F>F0.95(2, 12)时因子是显著的
选项
答案 CE
解析 由题可知,水平数r=3,所以因子A平方和的自由度力=r-1=2。由于每一水平下重复次数分别为m1=6, m2 = 5, m3 =4,故总试验次数为n =m1+ m2 +m3 =6+5 + 4 = 15,所以总离差平方和的自由度为fT=n-1=15-1=14,则误差平方和的自由度fe=fT -fA =14-2=12,所以。对给定的显著性水平a,当F>F1-a(fa,fe) 时因子是显著的,所以当a=0.05时,F= 10.94>f0.95(2,12),即因子是显著的。

猜你喜欢

发表评论
更多 网友评论0 条评论)
暂无评论

访问排行

Copyright © 2012-2014 恰考网 Inc. 保留所有权利。 Powered by tikuer.com

页面耗时0.0330秒, 内存占用1.03 MB, Cache:redis,访问数据库18次