考察温度对某一化工产品得率的影响,选了五种不同的温度进行试验,在同一温度下进行了3次试验,试验结果如表所示。总和T = 1344,总平均为y = 89...

作者: rantiku 人气: - 评论: 0
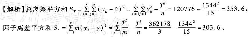
问题 考察温度对某一化工产品得率的影响,选了五种不同的温度进行试验,在同一温度下进行了3次试验,试验结果如表所示。 总和T = 1344,总平均为y = 89. 6, ,请利用以上数据分析下列问题。 为对数据进行方差分析,通过计算有()。 A.总离差平方和为ST=353. 6 B.总离差平方和为ST = 120686. 4 C.因子离差平方和为SA=303. 6 D.因子离差平方和SA为72346
选项
答案 AC
解析

猜你喜欢

发表评论
更多 网友评论0 条评论)
暂无评论

访问排行

Copyright © 2012-2014 恰考网 Inc. 保留所有权利。 Powered by tikuer.com

页面耗时0.0342秒, 内存占用1.03 MB, Cache:redis,访问数据库19次