剔除一个远离回归直线的散点,r2将( )。A.不受影响 B.减小 C.增大 D.接近于0

作者: rantiku 人气: - 评论: 0
问题 剔除一个远离回归直线的散点,r2将( )。 A.不受影响 B.减小 C.增大 D.接近于0
选项
答案 C
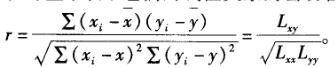
解析 如果散布图呈现n个点基本在一条直线附近,但又不完全在一条直线上,则可用一个统计量来表示它们的线性关系的密切程度,这个量称为相关系数,记为r,它定义为: 如果剔除一个远离回归直线的散点,则相关性增强,r2将增大。

猜你喜欢

发表评论
更多 网友评论0 条评论)
暂无评论

访问排行

Copyright © 2012-2014 恰考网 Inc. 保留所有权利。 Powered by tikuer.com

页面耗时0.0419秒, 内存占用1.03 MB, Cache:redis,访问数据库20次