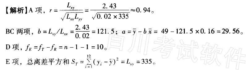
由合金碳含量(%)与合金强度(107Pa)的12对观测值(xi,yi), i =1, 2,…12,计算得到,则计算结果正确的有( )。A. r=0. ...

作者: rantiku 人气: - 评论: 0
问题 由合金碳含量(%)与合金强度(107Pa)的12对观测值(xi,yi), i =1, 2,…12,计算得到,则计算结果正确的有( )。 A. r=0. 94 B. b=0.007 C. a =29. 56 D. fE=11 E.总离差平方和ST= 0.02
选项
答案 AC
解析

猜你喜欢

发表评论
更多 网友评论0 条评论)
暂无评论

访问排行

Copyright © 2012-2014 恰考网 Inc. 保留所有权利。 Powered by tikuer.com

页面耗时0.0385秒, 内存占用1.03 MB, Cache:redis,访问数据库19次