在变量Y表示对X进行回归分析时,根据10对观测值(xi,yi), i =1, 2,…10,算得如下结果:,Lxx=336,Lxy=131.25,Lyy=1...

作者: rantiku 人气: - 评论: 0
问题 在变量Y表示对X进行回归分析时,根据10对观测值(xi,yi), i =1, 2,…10,算得如下结果:,Lxx=336,Lxy=131.25,Lyy=168。 请回答下列问题。 回归方程中的常数项a为( )。 A. -19.6 B. -2.6 C. 2.6 D. 26
选项
答案 C
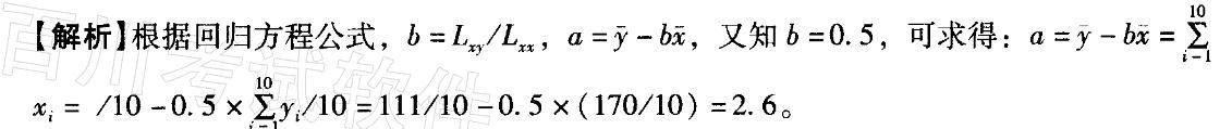
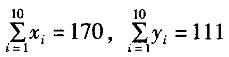
解析

猜你喜欢

发表评论
更多 网友评论0 条评论)
暂无评论

访问排行

Copyright © 2012-2014 恰考网 Inc. 保留所有权利。 Powered by tikuer.com

页面耗时0.0363秒, 内存占用1.03 MB, Cache:redis,访问数据库18次