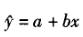
从某合金钢中含碳量x与某性能指标y的10组数据,得如表所示结果。回归方程中,a与b的估计分别是( )。A. b =2. 28 B. b = -...

作者: rantiku 人气: - 评论: 0
问题 从某合金钢中含碳量x与某性能指标y的10组数据,得如表所示结果。 回归方程中,a与b的估计分别是( )。 A. b =2. 28 B. b = -2.28 C. a =43. 4 D. a =20. 6
选项
答案 BC
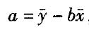
解析 根据公式b=Lxy/Lxx,代入数据求得:b= -57.0/25 = -2.28, =32 + 2.28 x5 =43.4。

猜你喜欢

发表评论
更多 网友评论0 条评论)
暂无评论

访问排行

Copyright © 2012-2014 恰考网 Inc. 保留所有权利。 Powered by tikuer.com

页面耗时0.0378秒, 内存占用1.03 MB, Cache:redis,访问数据库19次