已知对某装修材料公司的某类材料的方差分析,如表所示。当a =0.01时,用F法检验x对y的影响是( )。 A.不显著的 B.显著的 C.显著或...

作者: rantiku 人气: - 评论: 0
问题 已知对某装修材料公司的某类材料的方差分析,如表所示。 当a =0.01时,用F法检验x对y的影响是( )。 A.不显著的 B.显著的 C.显著或不显著 D.无法确定 附:F0.99(1,8) =11.26, F0.99(1,9) =10.56,F0.995(1,8) =14.69
选项
答案 B
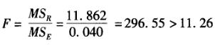
解析 由题意,回归平方和SR=11. 862,残差平方和SE=0.318,回归均方和MSR=SR/ fR =11. 862,残差均方和MSE=SE/ fE = 0.040,则:。 因此,x对y的影响是显著的。

猜你喜欢

发表评论
更多 网友评论0 条评论)
暂无评论

访问排行

Copyright © 2012-2014 恰考网 Inc. 保留所有权利。 Powered by tikuer.com

页面耗时0.0348秒, 内存占用1.03 MB, Cache:redis,访问数据库20次