在一个用L9(34)的正交试验中,各列的偏差平方和如表所示,给定F0.90(2,2)=9.0、F0.95(2, 2) = 19.0,下列与本数据结果有关的...

作者: rantiku 人气: - 评论: 0
问题 在一个用L9(34)的正交试验中,各列的偏差平方和如表所示,给定F0.90(2,2)=9.0、F0.95(2, 2) = 19.0,下列与本数据结果有关的正确项有( )。 A. A、B、C 为显著(a =0.05) B. A 因子(a =0. 10)显著 C. B 因子(a =0.05)显著 D. Se≠S4 E. C因子(a= 0.05)不显著
选项
答案 BCE
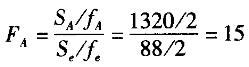
解析 由题意知,因子水平数均为3,SA= 1320, SB=5110, SC=468,Se=88,其中,Se=S4; fA=fB=fc=2,fe=2,则,同理可得FB=58.07,FC =5.32,因为F0.90(2,2)A0.95(2,2);FB>F0.95(2,2); FC0.95(2,2),所以A因子(a=0. 10)显著,B因子(a =0.05)显著,C因子都不显著。

猜你喜欢

发表评论
更多 网友评论0 条评论)
暂无评论

访问排行

Copyright © 2012-2014 恰考网 Inc. 保留所有权利。 Powered by tikuer.com

页面耗时0.0374秒, 内存占用1.03 MB, Cache:redis,访问数据库20次