为提高某化工产品的性能指标,选择三个因子A,B, C,每个因子各取3个水平,并用正交表L9(34)安排试验,根据9个试验结果可算得各水平对应的试验结果之和...

作者: rantiku 人气: - 评论: 0
问题 为提高某化工产品的性能指标,选择三个因子A,B, C,每个因子各取3个水平,并用正交表L9(34)安排试验,根据9个试验结果可算得各水平对应的试验结果之和如表所示。 用直观分析法,使性能指标愈大愈好的最佳水平条件是( )。 A. A3B1C1 B. A3B2C1 C. A3B2C2D. A3B2C3
选项
答案 C
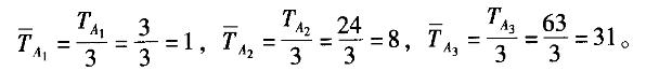
解析 根据题意可知,对于因子A有: 则因子A的三水平好;同理可得因子B的二水平好,因子C的二水平好,所以使性能指标愈大愈好的最佳水平条件是A3B2C2。

猜你喜欢

发表评论
更多 网友评论0 条评论)
暂无评论

访问排行

Copyright © 2012-2014 恰考网 Inc. 保留所有权利。 Powered by tikuer.com

页面耗时0.0369秒, 内存占用1.03 MB, Cache:redis,访问数据库19次