对某种型号的弹簧的生产工艺进行正交试验设计,试验指标为弹簧的弹性值。该项试验的目的是提高弹簧的烊性值。试验设计中的因素、水平、正交表及试验结果等如表所示。...

作者: rantiku 人气: - 评论: 0
问题 对某种型号的弹簧的生产工艺进行正交试验设计,试验指标为弹簧的弹性值。该项试验的目的是提高弹簧的烊性值。试验设计中的因素、水平、正交表及试验结果等如表所示。 极差分析得到的最佳方案为( )。 A. A1B2C2B. A1B1C2 C. A3B2C1 D. A1B1C1
选项
答案 B
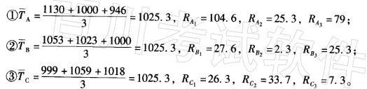
解析 具体分析如下: 极差R越大的因子对指标的影响就越大,因此取极差最大的因子,所以最佳方案为A1B1C2。

猜你喜欢

发表评论
更多 网友评论0 条评论)
暂无评论

访问排行

Copyright © 2012-2014 恰考网 Inc. 保留所有权利。 Powered by tikuer.com

页面耗时0.0260秒, 内存占用1.03 MB, Cache:redis,访问数据库20次