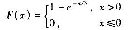
一次电话通话时间X是一个随机变量(单位:分),X的分布函数为: 当你走进公用电话亭时,恰好有一个人在你前面开始打电话,你的等待时间不超过3分钟...

作者: rantiku 人气: - 评论: 0
问题 一次电话通话时间X是一个随机变量(单位:分),X的分布函数为: 当你走进公用电话亭时,恰好有一个人在你前面开始打电话,你的等待时间不超过3分钟的概率是( )。 A. e -1 B. 1-e-1 C. 3e-1/3 D. 1 -e-1/3
选项
答案 B
解析 等待时间不超过3分钟的概率P(0 -3/3) -0 = 1-e-1。

猜你喜欢

发表评论
更多 网友评论0 条评论)
暂无评论

访问排行

Copyright © 2012-2014 恰考网 Inc. 保留所有权利。 Powered by tikuer.com

页面耗时0.0483秒, 内存占用1.03 MB, Cache:redis,访问数据库19次