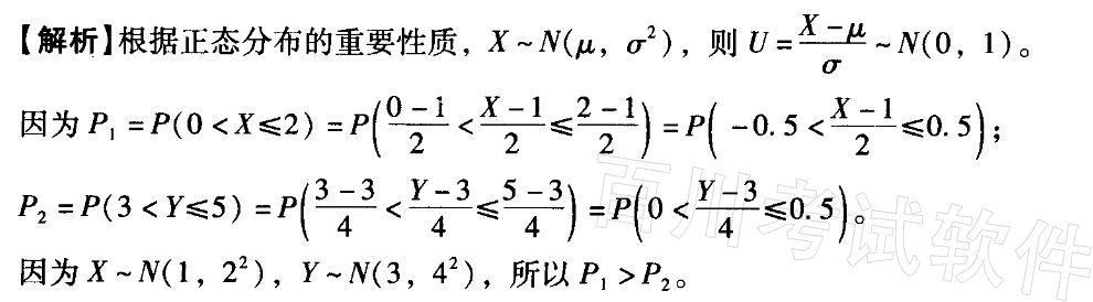
已知X~N(1, 22),Y~N(3, 42),则P1=P1(02 =P(3 A. P12 B. P1>P2 C. P1=4P2 D. P1=P2

作者: rantiku 人气: - 评论: 0
问题 已知X~N(1, 22),Y~N(3, 42),则P1=P1(02 =P(3 A. P12 B. P1>P2 C. P1=4P2 D. P1=P2
选项
答案 B
解析

猜你喜欢

发表评论
更多 网友评论0 条评论)
暂无评论

访问排行

Copyright © 2012-2014 恰考网 Inc. 保留所有权利。 Powered by tikuer.com

页面耗时0.0421秒, 内存占用1.03 MB, Cache:redis,访问数据库18次