两个相互独立的随机变量X与Y的标准差分别为Var (X) =2和Vaa (Y) = 1,则其差的标准差σ(X-Y)=( )。

作者: rantiku 人气: - 评论: 0
问题 两个相互独立的随机变量X与Y的标准差分别为Var (X) =2和Vaa (Y) = 1,则其差的标准差σ(X-Y)=( )。
选项
答案 C
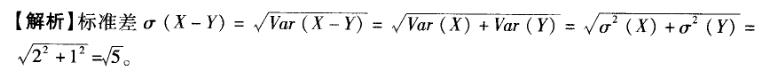
解析

猜你喜欢

发表评论
更多 网友评论0 条评论)
暂无评论

访问排行

Copyright © 2012-2014 恰考网 Inc. 保留所有权利。 Powered by tikuer.com

页面耗时0.0416秒, 内存占用1.03 MB, Cache:redis,访问数据库20次