某产品尺寸规范要求为70 ± 6mm,从现场得知该加工尺寸服从正态分布,且均值为μ = 70mm, σ =1. 5mm,则该加工过程的不合格品率为( )。...

作者: rantiku 人气: - 评论: 0
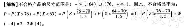
问题 某产品尺寸规范要求为70 ± 6mm,从现场得知该加工尺寸服从正态分布,且均值为μ = 70mm, σ =1. 5mm,则该加工过程的不合格品率为( )。 A. 2-2Φ(4) B. 1-Φ(4) C. 2Φ(4) D. 2Φ(4) -1
选项
答案 A
解析

猜你喜欢

发表评论
更多 网友评论0 条评论)
暂无评论

访问排行

Copyright © 2012-2014 恰考网 Inc. 保留所有权利。 Powered by tikuer.com

页面耗时0.0334秒, 内存占用1.03 MB, Cache:redis,访问数据库19次