下列关于两个相互独立的随机变量X1和X2的标准差和方差表达式,正确的是( )。

作者: rantiku 人气: - 评论: 0
问题 下列关于两个相互独立的随机变量X1和X2的标准差和方差表达式,正确的是( )。
选项
答案 BD
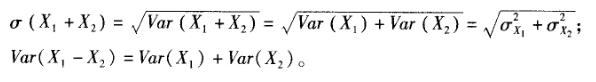
解析 X1和X2相互独立时,有:

猜你喜欢

发表评论
更多 网友评论0 条评论)
暂无评论

访问排行

Copyright © 2012-2014 恰考网 Inc. 保留所有权利。 Powered by tikuer.com

页面耗时0.0449秒, 内存占用1.03 MB, Cache:redis,访问数据库20次