设随机变量x服从b(n,p),则( )。B. E(X) =npC. Var(X)=np(1-p)D. Var(X) = np(1-p)2 ...

作者: rantiku 人气: - 评论: 0
问题 设随机变量x服从b(n,p),则( )。 B. E(X) =np C. Var(X)=np(1-p) D. Var(X) = np(1-p)2 E. Var(X) =p(1-p)
选项
答案 ABC
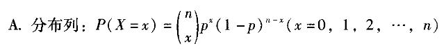
解析

猜你喜欢

发表评论
更多 网友评论0 条评论)
暂无评论

访问排行

Copyright © 2012-2014 恰考网 Inc. 保留所有权利。 Powered by tikuer.com

页面耗时0.0417秒, 内存占用1.03 MB, Cache:redis,访问数据库20次