正态分布计算所依据的重要性质为( )。A.设X~N(μ,σ2),则μ= (X-μ)/σ~N(0, 1)B.设X~N(μ,σ2),则对任意实数a、b...

作者: rantiku 人气: - 评论: 0
问题 正态分布计算所依据的重要性质为( )。 A.设X~N(μ,σ2),则μ= (X-μ)/σ~N(0, 1) B.设X~N(μ,σ2),则对任意实数a、b有P(XC.设X~N(μ,σ2),则对任意实数a、b有P(X>a) =1-Φ[(a-μ)/σ] D.设X~N(μ,σ2),则对任意实数a、b有P(a
选项
答案 ABCD
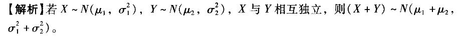
解析

猜你喜欢

发表评论
更多 网友评论0 条评论)
暂无评论

访问排行

Copyright © 2012-2014 恰考网 Inc. 保留所有权利。 Powered by tikuer.com

页面耗时0.0433秒, 内存占用1.03 MB, Cache:redis,访问数据库20次