对某公司生产的产品进行检查,假设某一祷件上的缺陷数X服从泊松分布,每个铸件上的平均缺陷数是0.5,则:一个铸件上仅有一个缺陷的概率为( )。A. ...

作者: rantiku 人气: - 评论: 0
问题 对某公司生产的产品进行检查,假设某一祷件上的缺陷数X服从泊松分布,每个铸件上的平均缺陷数是0.5,则: 一个铸件上仅有一个缺陷的概率为( )。 A. 0.303 B. 0.335 C. 0.380 D. 0. 535
选项
答案 A
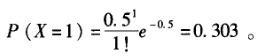
解析 铸件上仅有一个缺陷的概率为:

猜你喜欢

发表评论
更多 网友评论0 条评论)
暂无评论

访问排行

Copyright © 2012-2014 恰考网 Inc. 保留所有权利。 Powered by tikuer.com

页面耗时0.0569秒, 内存占用1.03 MB, Cache:redis,访问数据库19次