—个样本由n个观测值组成,已知样本均值和样本标准差s皆为正数,如果每个观测值扩大到2倍,则下列说法正确的是( )。A.和s都扩大到2倍 B. 和s都不变 ...

作者: rantiku 人气: - 评论: 0
问题 —个样本由n个观测值组成,已知样本均值和样本标准差s皆为正数,如果每个观测值扩大到2倍,则下列说法正确的是( )。A.和s都扩大到2倍 B. 和s都不变 C.扩大到2倍,s扩大到4倍 D. 扩大到4倍,s扩大到2倍
选项
答案 A
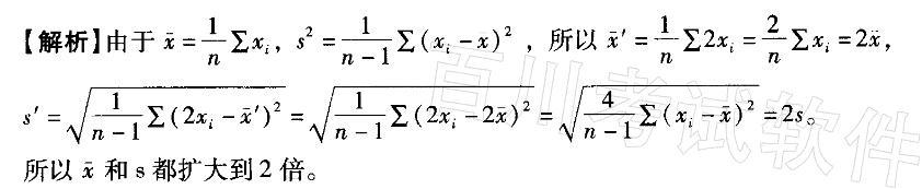
解析

猜你喜欢

发表评论
更多 网友评论0 条评论)
暂无评论

访问排行

Copyright © 2012-2014 恰考网 Inc. 保留所有权利。 Powered by tikuer.com

页面耗时0.0304秒, 内存占用1.03 MB, Cache:redis,访问数据库18次