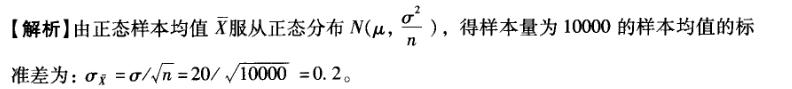
从某轴承厂生产的轴承中随机抽取10000个样品组成一个样本,测得其平均寿命为200000转,标准差为20转,则其样本均值的标准差约为( )转。A. 0...

作者: rantiku 人气: - 评论: 0
问题 从某轴承厂生产的轴承中随机抽取10000个样品组成一个样本,测得其平均寿命为200000转,标准差为20转,则其样本均值的标准差约为( )转。 A. 0.2 B. 10 C. 20 D. 200
选项
答案 A
解析

猜你喜欢

发表评论
更多 网友评论0 条评论)
暂无评论

访问排行

Copyright © 2012-2014 恰考网 Inc. 保留所有权利。 Powered by tikuer.com

页面耗时0.1031秒, 内存占用1.03 MB, Cache:redis,访问数据库18次