下列关于F分布的说法错误的是( )。A. F分布是两个样本方差比的分布B. F分布的分子的自由度称为分子自由度或第1自由度;分母的自由度称为分母自...

作者: rantiku 人气: - 评论: 0
问题 下列关于F分布的说法错误的是( )。 A. F分布是两个样本方差比的分布 B. F分布的分子的自由度称为分子自由度或第1自由度;分母的自由度称为分母自由度或第2自由度 C.构成F分布的两个样本方差来自两个独立的正态总体,它们的方差相等 D. F分布的概率密度函数在整个轴上呈偏态分布
选项
答案 D
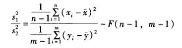
解析 设有两个独立的正态总体N(μ1,σ2)和(μ2,σ2)它们的方差相等。又设x1,x2,…,xn是来自N(μ1,σ2)的一个样本,y1,y2,…,yn是来自N(μ2,σ2)的一个样本,两个样本相互独立,它们的样本方差比的分布是自由度为n-1和m-1的F分布: 其中,n-1称为分子自由度或第1自由度;m-1称为分母自由度或第2自由度。F分布的概率密度函数在正半轴上呈偏态分布。

猜你喜欢

发表评论
更多 网友评论0 条评论)
暂无评论

访问排行

Copyright © 2012-2014 恰考网 Inc. 保留所有权利。 Powered by tikuer.com

页面耗时0.0740秒, 内存占用1.03 MB, Cache:redis,访问数据库17次