设X~N(μ,σ2),均值μ已知,而方差σ2未知,X1, X2, X3为总体X的样本,下列各式是统计量的有( )。A.X1+3 X2+σ2 B. X1+2...

作者: rantiku 人气: - 评论: 0
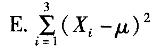
问题 设X~N(μ,σ2),均值μ已知,而方差σ2未知,X1, X2, X3为总体X的样本,下列各式是统计量的有( )。A.X1+3 X2+σ2 B. X1+2μ C. max(X1, X2, X3) D. (X2-μ)2/σ
选项
答案 BCE
解析 AD两项都含有未知数σ,不是统计量。

猜你喜欢

发表评论
更多 网友评论0 条评论)
暂无评论

访问排行

Copyright © 2012-2014 恰考网 Inc. 保留所有权利。 Powered by tikuer.com

页面耗时0.0368秒, 内存占用1.03 MB, Cache:redis,访问数据库18次