设X1,X2,…Xn是一个样本,样本的观测值分别为x1,x2,…,xn,则样本方差s2的计算公式正确的有( )。

作者: rantiku 人气: - 评论: 0
问题 设X1,X2,…Xn是一个样本,样本的观测值分别为x1,x2,…,xn,则样本方差s2的计算公式正确的有( )。
选项
答案 ACD
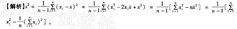
解析

猜你喜欢

发表评论
更多 网友评论0 条评论)
暂无评论

访问排行

Copyright © 2012-2014 恰考网 Inc. 保留所有权利。 Powered by tikuer.com

页面耗时0.0326秒, 内存占用1.03 MB, Cache:redis,访问数据库19次