假设某总体服从正态分布N(12, 4),现从中随机抽取一容量为5的样本X1,X2, X3, X4, X5,则:样本均值与总体均值之差的绝对值大于1的概...

作者: rantiku 人气: - 评论: 0
问题 假设某总体服从正态分布N(12, 4),现从中随机抽取一容量为5的样本X1,X2, X3, X4, X5,则: 样本均值与总体均值之差的绝对值大于1的概率是()。 A. 0.2628 B. 0. 98 C. 0.9877 D. 0.9977
选项
答案 A
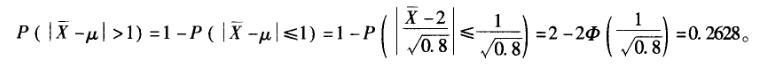
解析 样本均值服从正态分布N(12,0.8),样本均值与总体均值之差的绝对值大于1的概率为:

猜你喜欢

发表评论
更多 网友评论0 条评论)
暂无评论

访问排行

Copyright © 2012-2014 恰考网 Inc. 保留所有权利。 Powered by tikuer.com

页面耗时0.0333秒, 内存占用1.03 MB, Cache:redis,访问数据库18次