总体为正态分布,σ2未知,则总体均值的1-a置信区间是()。

作者: rantiku 人气: - 评论: 0
问题 总体为正态分布,σ2未知,则总体均值的1-a置信区间是()。
选项
答案 B
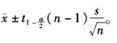
解析 估计正态总体均值的置信区间,若σ未知,σ用其估计s代替,利用t分布,且是对称区间,故总体均值置信区间为

猜你喜欢

发表评论
更多 网友评论0 条评论)
暂无评论

访问排行

Copyright © 2012-2014 恰考网 Inc. 保留所有权利。 Powered by tikuer.com

页面耗时0.0320秒, 内存占用1.03 MB, Cache:redis,访问数据库19次