某厂订购一批自行车零件,双方规定其不合格品率不超过5%为合格品,现从该批随机抽取100个零件进行检验,发现有7件不合格品,当显著水平a= 0.05时,该批...

作者: rantiku 人气: - 评论: 0
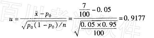
问题 某厂订购一批自行车零件,双方规定其不合格品率不超过5%为合格品,现从该批随机抽取100个零件进行检验,发现有7件不合格品,当显著水平a= 0.05时,该批产品的检验结论为( )。 A.拒绝该批产品 B.接受该批产品 C.不能确定 D.可拒绝也可接受该批产品
选项
答案 B
解析 此假设检验求解过程为:①立假设H0: ≤0.05,H1: >0.05;②因为样本量n=100较大,故可选用近似u检验;③根据显著性水平a =0. 05及备择假设可确定拒绝域为{u>u1-a}={u>1.645};④由样本观测值,求得: 由于u未落在拒绝域中,所以不能拒绝原假设,应接受这批产品。

猜你喜欢

发表评论
更多 网友评论0 条评论)
暂无评论

访问排行

Copyright © 2012-2014 恰考网 Inc. 保留所有权利。 Powered by tikuer.com

页面耗时0.0640秒, 内存占用1.03 MB, Cache:redis,访问数据库18次