在假设检验中,下面的说法正确的有( )。A.建立假设时,有原假设H0和备择假设H1B.已知μ0,可假设H0:μ=μ0 , H1:μ≠μ0 检验样本...

作者: rantiku 人气: - 评论: 0
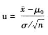
问题 在假设检验中,下面的说法正确的有( )。 A.建立假设时,有原假设H0和备择假设H1 B.已知μ0,可假设H0:μ=μ0 , H1:μ≠μ0 检验样本均值是否为μ0 C.正态总体σ已知时,μ的显著性水平为a的检验采用作为检验统计量 D.假设H0:μ≤μ0 , H1:μ>μ0 ,是双侧假设检验 E.假设H0:μ=μ0 , H1:μ≠μ0 ,是双侧假设检验
选项
答案 ABCE
解析 D项,对假设H0:μ≤μ0 , 备择假设H1:μ>μ0 ,是单侧假设检验。

猜你喜欢

发表评论
更多 网友评论0 条评论)
暂无评论

访问排行

Copyright © 2012-2014 恰考网 Inc. 保留所有权利。 Powered by tikuer.com

页面耗时0.0249秒, 内存占用1.03 MB, Cache:redis,访问数据库18次