正态标准差σ的1 -a置信区间依赖于( )。A.样本均值 B.样本方差C.样本标准差 D. t分布的分位数E. X2分布的分位数

作者: rantiku 人气: - 评论: 0
问题 正态标准差σ的1 -a置信区间依赖于( )。 A.样本均值 B.样本方差 C.样本标准差 D. t分布的分位数 E. X2分布的分位数
选项
答案 BCE
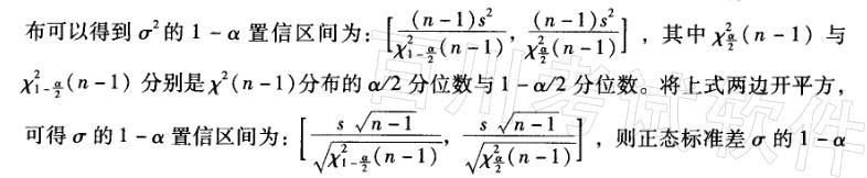
解析 σ2的估计常用样本方差s2,所以从s2的分布来构造置信区间。利用X2(n-1)分 置信区间依赖于样本标准差s(或样本方差)和X2分布的分位数。

猜你喜欢

发表评论
更多 网友评论0 条评论)
暂无评论

访问排行

Copyright © 2012-2014 恰考网 Inc. 保留所有权利。 Powered by tikuer.com

页面耗时0.0338秒, 内存占用1.03 MB, Cache:redis,访问数据库19次