10μs-1等于()。A.10-5s-1 B.10-4s-1 C.107s-11 D.10MHzE.100MHZ

作者: rantiku 人气: - 评论: 0
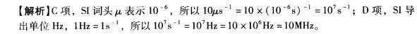
问题 10μs-1等于()。 A.10-5s-1 B.10-4s-1 C.107s-11 D.10MHz E.100MHZ
选项
答案 CD
解析

猜你喜欢

发表评论
更多 网友评论0 条评论)
暂无评论

访问排行

Copyright © 2012-2014 恰考网 Inc. 保留所有权利。 Powered by tikuer.com

页面耗时0.0280秒, 内存占用1.02 MB, Cache:redis,访问数据库18次