关于利率和年金现值与终值的关系,下列说法不正确的有( ) Ⅰ.在不考虑其他条件的情况下,利率与年金终值反方向变化 Ⅱ.在不考虑其他条件的情况下,利率...

作者: tihaiku 人气: - 评论: 0
问题 关于利率和年金现值与终值的关系,下列说法不正确的有( ) Ⅰ.在不考虑其他条件的情况下,利率与年金终值反方向变化 Ⅱ.在不考虑其他条件的情况下,利率与年金现值同方向变化 Ⅲ.在不考虑其他条件的情况下,利率与年金现值反方向变化 Ⅳ.在不考虑其他条件的情况下,利率与年金终值同方向变化 Ⅴ.利率是影响年金现值和年金终值的重要因素
选项 A、Ⅰ.Ⅱ.Ⅲ B、Ⅰ.Ⅲ.Ⅳ.Ⅴ C、Ⅰ.Ⅱ D、Ⅳ.Ⅴ
答案 C
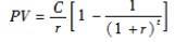
解析 (期末)年金现值的公式为:
(期末)年金终值的公式为:
可知,利率与年金现值反方向变化,与年金终值同方向变化。

相关内容:利率,年金,现值,关系,说法,条件,方向,变化

猜你喜欢

发表评论
更多 网友评论0 条评论)
暂无评论

访问排行

Copyright © 2012-2014 恰考网 Inc. 保留所有权利。 Powered by tikuer.com

页面耗时0.0701秒, 内存占用1.05 MB, Cache:redis,访问数据库19次