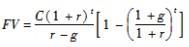
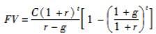
下列说法不正确的有( )。 Ⅰ.增长型年金终值的计算公式为 Ⅱ.生活费支出、教育费支出和房贷支出都属于期初年金 ...

作者: tihaiku 人气: - 评论: 0
问题 下列说法不正确的有( )。 Ⅰ.增长型年金终值的计算公式为
Ⅱ.生活费支出、教育费支出和房贷支出都属于期初年金 Ⅲ.(期初)增长型永续年金的现值计算公式(r>g)为
Ⅳ.NPV越大说明投资收益越高 Ⅴ.内部回报率是投资者预期可以得到的收益率
选项 A、Ⅰ.Ⅱ.Ⅲ.Ⅳ.Ⅴ B、Ⅲ.Ⅳ.Ⅴ C、Ⅰ.Ⅱ.Ⅲ.Ⅳ D、Ⅰ.Ⅱ.Ⅲ.Ⅴ
答案 D
解析 A项,当r>g或r , 当r=g时,FV=tC(1+r)t-1;B项,房贷支出的现金流发生在当期期末;C项,应改为(期末)增长型永续年金;E项,内部回报率是使现金流的现值之和等于零的利率。

相关内容:说法,年金,公式,生活费,支出,教育费

猜你喜欢

发表评论
更多 网友评论0 条评论)
暂无评论

访问排行

Copyright © 2012-2014 恰考网 Inc. 保留所有权利。 Powered by tikuer.com

页面耗时0.0310秒, 内存占用1.04 MB, Cache:redis,访问数据库16次