某基金收益率小于无风险利率的期数为3,该基金3期的收益率分别为6.5%, 8.9%和12.8%,市场无风险收益率为10%,该基金的下行风险标准差为( )。...

作者: tihaiku 人气: - 评论: 0
问题 某基金收益率小于无风险利率的期数为3,该基金3期的收益率分别为6.5%, 8.9%和12.8%,市场无风险收益率为10%,该基金的下行风险标准差为( )。
选项 A.3.26% B.10.65% C.5.56% D.1.21%
答案 A
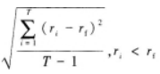
解析 根据下行风险标准差=计算可得3.26%

相关内容:基金,收益率,风险,利率,期数,市场

猜你喜欢

发表评论
更多 网友评论0 条评论)
暂无评论

访问排行

Copyright © 2012-2014 恰考网 Inc. 保留所有权利。 Powered by tikuer.com

页面耗时0.0591秒, 内存占用1.05 MB, Cache:redis,访问数据库20次