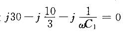
图示电路中电压“含有基波和三次谐波,基波角频率为104rad/s。若要求u1中不含基波分量而将u中的三次谐波分量全部取出,则电容C1为应为下列哪项数值?(...
相关内容:电路,电压,基波,谐波,104rad,要求,分量,电容,数值
- 衡量电能质量的主要指标是()。
(A)电压 (B)电压、频率(C)频率 (D)电压、频率和谐波
- 在图1. 1-21的4个耦合电感中,哪个互感电压方向的标注是完全正确的?
- 在图1.1-8电路中,Is =2 A,求该独立电流源供出的功率。
- 下列关于两相短路说法不正确的是()。
(A)两相短路电流为正序电流的√3倍(B)短路点非故障相电压为正序电压的两倍
(C)故障相电压为非故障相电压的一...
- 上题图为一台单相变压器示意图,其额定电压U1N/U2N=220/110V。现将X与a两端用导线连接,在A、x之间加电压U=330V,则变压器的主磁通与空载...
- —台三相4极的感应电动机运行在额定状态,其f=50Hz,nN=1460r/min,转子电阻实际值R2=0.106Ω。在负载转矩不变的情况下,当转子电路中串...
- —台三相变压器的额定数据为=750kVA,U1N/U2N=10/0.4kV,连接组为Y/Yn-0。在低压侧做空载试验,测得线电压为400V,线电流为60A...
- 变压器空载合闸时不产生冲击电流的电压初相角α0为()。
(A)0 (B)π/6 (C)π/3 (D)π/2
- —台Y/Yn-0连接的三相变压器,其额定容量SN=320kVA,额定电压U1N/U2N=6.3/0.4kV,短路损耗PkN=5.5kW,阻抗电压Uk=4....
- —台单相变压器的额定容量SN=100kVA,额定电压U1N/U2N=3.3/0.22kV,短路电阻Rk=0.8775Ω,短路电抗Xk=6.0245Ω,则该...