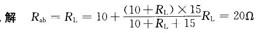
图示电路中ab间的等效电阻与电阻RL相等,则RL应为下列哪项数值?()A. 20Ω B. 15Ω0 D. 10Ω
相关内容:电路,电阻,数值
- 在图1.1-8电路中,Is =2 A,求该独立电流源供出的功率。
- 变压器励磁电阻Rm的物理意义是反映变压器()的一个等效电阻。
(A)总损耗 (B)短路损耗 (C)铁芯损耗 (D)二次绕组损耗
- —台单相变压器的额定容量SN=100kVA,额定电压U1N/U2N=3.3/0.22kV,短路电阻Rk=0.8775Ω,短路电抗Xk=6.0245Ω,则该...
- —台Y/△—11连接的三相变压器,其额定容饿SN=5600kVA,额定电压U1N/U2N=35/6.3kV,短路电阻Rk=2.07短路电抗Xk=16.2Ω...
- —台单相变压器的额定容量SN=200kVA,额定电压U1N/U2N=1/0.23kV,一次绕组电阻=0.10,漏电抗X1=0.16Ω,励磁电阻Rm=5.5...
- 三相感应电动机等值电路中的电阻(上消耗的功率为()。
(A)轴上输出机械功率(B)电磁功率(C)输入功率 (D)总机械功率
- 将三相感应电动机的转子电阻增大一倍,则最大电磁转矩将会()。
(A)增大 (B)减小 (C)不变 (D)不确定
- 一台单相变压器的额定容量SN=100kVA,额定电压U1N/U2N=6/0.23kV,—次绕组电阻与漏抗为R1,=4.32Ω、X1=8.9二次绕组电阻与漏...
- 将三相感应电动机的转子电阻增大一倍,则最大电磁转矩将会()。
(A)增大 (B)减小 (C)不变 (D)不确定
- 一台隐极同步发电机并于无穷大电网,额定数据为:UN=11kV,PN=3MW,同步电抗Xc=12Ω,不计定子电阻,Y接法。当发电机额定运行,并且每相空载电动...