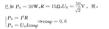
在图示电路中,us = 50sinwtV,电阻15Ω上的功率为30W,则电路的功率因数应为下列哪项数值?( )A. 0.8
B. 0.4
C. 0.6...
相关内容:电路,50sinwtV,电阻,功率,数值,0.6...
- 在图1.1-8电路中,Is =2 A,求该独立电流源供出的功率。
- —台三相4极的感应电动机运行在额定状态,其f=50Hz,nN=1460r/min,转子电阻实际值R2=0.106Ω。在负载转矩不变的情况下,当转子电路中串...
- 一台三相4级感应电动机,在某一运行情况下,电动机从电源输入功率为6kW,定子铜耗PCu1=300W,铁耗PFe=150W,转子铜耗PCu2=200W,机械...
- 变压器励磁电阻Rm的物理意义是反映变压器()的一个等效电阻。
(A)总损耗 (B)短路损耗 (C)铁芯损耗 (D)二次绕组损耗
- 在短路的实用计算中,通常只用()的有效值来计算短路功率。
(A)非周期分世电流(B)短路全电流(C)短路电流自由分狱(D)周期分量电流
- 在三相感应电动机的转子电路中串入电抗,则电机的启动转矩将会()。
(A)增大 (B)减小 (C)不变 (D)不确定
- 一台三相同步电动机的同步电抗Xc=5.8Ω,UN=380V,IN=25.3A,cosψ=0.9,不计定子电阻,Y接法。额定状态运行时的空载电动势E0=25...
- 如上题所述,则发电机的功率因数为()。
(A)O.85 (B)O.75 (C)O.65 (D)O.55
- —台同步电动机的额定数据为:PN=500kW,cosψN=0.8(超前),ηN=95%。该电动机额定运行时从电网吸取的无功功率为()kVar。
(A)3...
- 如上题所述,该发电机额定运行时的无功功率为()MVar。
(A)111.11 (B)52.6 (0)50.5 (D)48.4