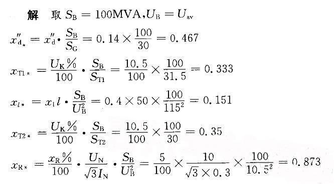
下列网络中的参数如图所示,用近似计算法计算得到的各元件标幺值为下列哪项数值?(取SB= 100MVA)( )
相关内容:网络,参数,如图,算法,元件,标幺,数值,100MVA
- 有一环网及其参数如题4-33图所示,节点①为电源,则该环网的功率分点及其功率的分开值为()。
(A)节点②15+j12,10+j6 (B)节点②20+j...
- 有一条100km的220kV输电线路,线路毎公里的参数r0+jx0=0.08+j0.33Ω,b0=2.85x1O-6S,已知首端实际电压为230kV,末端...
- 已知某一电力网络及其参数如题4-29图所示,忽略电压降落的横分量,则节点③的电压U3为()。
(A)110.22kV(B)109.43kV(C)114....
- 我国电力网络目前的平均额定电压主要有()。
(A) 3.15kV,6.3kV,10.5kV,36.75kV,115.5kV,231kV,346.5kV,...
- 我国电力网络目前的额定电压主要有()。
(A) 3kV,6kV,10kV,35kV,110kV,220kV,330kV,500kV
(B) 3kV,6...
- 我国目前()kV及其以下的电力网络的中性点采用不接地的方式。
(A)110 (B)35 (C)10 (D)220
- 在电力系统短路电流计算中,假设各元件的磁路不饱和的目的是()。
(A)可以应用叠加原理 (B)避免复数运算
(C)不计过渡电阻 (D)化故障系统为对称...
- 同步电抗表征同步电机在三相对称稳定运行时(〉。
(A)电枢反应磁场的一个综合参数
(B)电枢反应磁场和电枢漏磁场的一个综合参数
(C)气隙合成磁场的...
- 按照国家技术标准规定,计算变压器的性能时,对绕阻电阻的温度要换算到()数值。
(A)40℃ (B)55℃ (C)65℃ (D)75℃
- 下列关于零序网络说法不正确的是()。
(A)零序网络是一个无源网络 (B)零序电流能流通的元件与正、负序的不同
(C)所有电源的零序电势为零 (D)零...