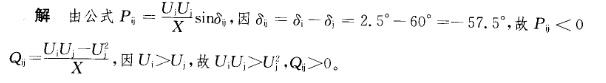
某高压电网线路两端电压分布如图所示,则有( )
A. Pij >0,Qij>0
B. Pij ij
C. Pij >0,Qij
D. Pij ij>0
相关内容:高压,电网,线路,端电压,如图
- 已知某条长80km220kV的线路,末端空载,则首端电压幅值U1与末端电压幅值U1之间的关系是()。
(A)U2>U1 (B)U21 (C)U2=U1 ...
- 有一条100km的220kV输电线路,线路毎公里的参数r0+jx0=0.08+j0.33Ω,b0=2.85x1O-6S,已知首端实际电压为230kV,末端...
- 一条阻抗为10+j_3011的110kV线路,取基准功率SB=100MVA,基准电压为各级平均额定电压,那么该线路阻抗的标幺值为()。
(A)0.075...
- 已知有完全相同的长100km的双间线路,其每冋线每公里的等值阻抗为0.1+j0.4Ω/km,则该双回线的等值阻抗为()Ω。
(A)10+j40 (B)5...
- 已知有完全相同的长100km的双间线路,其每冋线每公里的等值阻抗为0.1+j0.4Ω/km,则该双回线的等值阻抗为()Ω。
(A)10+j40 (B)5...
- 下列关于正序网络说法不正确的是()。
(A)正序网络是一个有源网络 (B)正序网络包括空载线路和变压器
(C)电源的正序电势为零 (D)正序网络与计算...
- 三绕组变压器分接头的位置一般设置在()。
(A)高压和中压绕组 (B)高压和低压绕组
(C)中压和低压绕组 (D)高压、中压和低压绕组
- 已知某条长80km220kV的线路,末端空载,则首端电压幅值U1与末端电压幅值U1之间的关系是()。
(A)U2>U1 (B)U21 (C)U2=U1 ...
- 一台汽轮发电机并于无穷大电网,额定运行时功角θN=25°。因故障,电压降至0.5UN,若使功角θ不超过35°,空载电动势E0应上升为原来的()倍。
(A...
- 一台汽轮发电机并于无穷大电网运行,其额定容量SN=31.25MVA,UN=10.5kV,cosψN=0.8(滞后),Xc=7Ω,不计定子电阻,Y接法。发电...