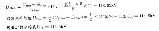
在一降压变电所中,装有两台电压为110±2X 2.5%/11kV的相同变压器并联运行,两台变压器归算到高压侧的并联等值阻抗ZT= 2. 04+j31. 7...
相关内容:变电所,电压,变压器,并联,运行,归算,高压,阻抗,04+j31.
- 三绕组变压器分接头的位置一般设置在()。
(A)高压和中压绕组 (B)高压和低压绕组
(C)中压和低压绕组 (D)高压、中压和低压绕组
- 在无功功率不足的电力系统中,首先应采取的措施是()。
(A)采用无功补偿装置补偿无功的缺额(B)改变变压器变比调压
(C)增加发电机的有功出力 (D)...
- 已知某条长80km220kV的线路,末端空载,则首端电压幅值U1与末端电压幅值U1之间的关系是()。
(A)U2>U1 (B)U21 (C)U2=U1 ...
- 已知某一电力网络及其参数如题4-29图所示,忽略电压降落的横分量,则节点③的电压U3为()。
(A)110.22kV(B)109.43kV(C)114....
- 一条阻抗为10+j_3011的110kV线路,取基准功率SB=100MVA,基准电压为各级平均额定电压,那么该线路阻抗的标幺值为()。
(A)0.075...
- 已知有完全相同的长100km的双间线路,其每冋线每公里的等值阻抗为0.1+j0.4Ω/km,则该双回线的等值阻抗为()Ω。
(A)10+j40 (B)5...
- 已知某输电线路每公里的阻抗为0.1+j0.4Ω/km,若该线路长100km,则该线路等值阻抗为()Ω。
(A)10+j40 (B)8+j32 (C)5+...
- 我国电力网络目前的额定电压主要有()。
(A) 3kV,6kV,10kV,35kV,110kV,220kV,330kV,500kV
(B) 3kV,6...
- 不直接和发电机相连的变压器一次绕组的额定电压()。
(A)等于相连线路的额定电压 (B)比相连线路的额定电压髙5%
(C)比相连线路的额定电压高10%...
- 发电机的额定电压比网络的额定电压髙()。
(A)5% (B)10% (C)0% (D)15%
猜你喜欢
- 供( )用的工程地形图,一般都需要观测。A.建筑设计
B.规划设计
C.勘察
D.监理
- 下列( )纳税义务人,应当按照规定到主管税务机关办理自行纳税申报。A、年所得12万元以上的B、年所得10万元以上的C、从中国境外取得所得的D...
- 某女,49岁,经血非时而下,出血量多,淋漓不尽,色淡质稀,两目干涩,腰膝酸软,面色晦暗,舌淡暗,脉沉弱。 根据临床表现,该患者的中医辩证是()A.气血两虚...
- 涎腺造影检查的禁忌症是A.腮腺慢性反复肿胀B.腮腺恶性肿瘤C.阴性涎石症D.急性化脓性腮腺炎E.外伤性涎瘘
- 研究控制债务总量和防止出现债务危机的重要依据的指标是()。A:国债依存度B:国债偿债率C:国债收益率D:国债负担率
- 一般运用于会计分录借贷方,有一方会计科目用错,而另一方会计科目没有错的情况下的调账的方法是( )。A.红字冲销法B.补充登记法C.综合账务调整法
...
- 知识点:支气管哮喘长期抗炎治疗哮喘的最常用的方法A.吸入肾上腺素B.吸入麻黄碱C.吸入异丙托溴铵D.吸入糖皮质激素E.吸入色甘酸钠
- 张某将个人拥有产权的房屋出典给贾某,则贾某为该房屋房产税的纳税人。( )
- 基金份额在基金合同期限内固定不变,基金份额可以在依法设立的证券交易所交易,但基金份额持有人不得申请赎回的一种基金类型是( )。A.开放式基金 B.封闭...
- 研究发现,通过游戏孩子把自身的焦虑和担忧等情绪表达出来,并在游戏过程中学会解决冲突,体验自己的情绪,探索与他人相处的方式,逐渐了解身边的这个世界。如果...