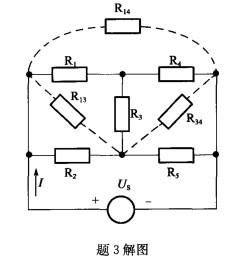
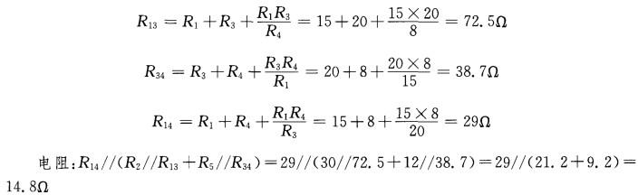
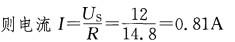
如图所示电路中,已知US = 12V,R1=15Ω,R2=30Ω,R3=20Ω,R4=8Ω,R5=12Ω,电流I为( )。
A. 2A B. 1. ...
相关内容:如图,电路,电流
- 在电力系统短路电流计算中,假设各元件的磁路不饱和的目的是()。
(A)可以应用叠加原理 (B)避免复数运算
(C)不计过渡电阻 (D)化故障系统为对称...
- 下列关于两相短路说法不正确的是()。
(A)两相短路电流为正序电流的√3倍(B)短路点非故障相电压为正序电压的两倍
(C)故障相电压为非故障相电压的一...
- —台三相变压器的额定容傲SN =3 200 KVA,额定电压U1N/U2N=35/10. 5 KV,其 —次侧额定电流为( )A。
(A)91.4 (B...
- —台三相变压器的额定数据为=750kVA,U1N/U2N=10/0.4kV,连接组为Y/Yn-0。在低压侧做空载试验,测得线电压为400V,线电流为60A...
- 在电力系统短路电流计算中,假设各元件的磁路不饱和的目的是()。
(A)可以应用叠加原理 (B)避免复数运算
(C)不计过渡电阻 (D)化故障系统为对称...
- 三相组式变压器不采用Y/Y连接的原因是()。
(A)—、二次绕组的线电动势为尖顶波(B)空载电流为尖顶波
(C)主磁通为尖顶波 (D)—二次绕组的相电...
- —台并联于无穷大电网的同步发电机,在电流落后于电压某一相角时,保持原动机输入不变,逐渐减小励磁电流,则电枢电流为()。
(A)渐大 (B)先增大后减小(...
- 下列关于负序网络说法正确的是()。
(A)负序网络是一个有源网络 (B)负序网络包括空载线路和变压器
(C)所有电源的负序电势为苳 (D)负序电流能流...
- 一台三相感应电动机的额定电压UN=220V,定子三相绕组为△接法。启动时将定子绕组改为Y接法,并接在380V的交流电源上,则电机的启动电流与接在220V电...
- 一台单相变压器的额定电压为U1N/U2N=10/0.4kV = 10/0.4 kV,额定电流为I1N/I2N =25/625 A,则变压器的额定容量SN为...