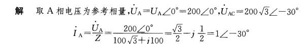
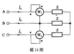
如图所示对称三相电路中,相电压是200V,Z=100+j100Ω,功率表W1的读数为( )。
A.100∠W
B.200∠W
C.300∠W
D....
相关内容:如图,电路,电压,100+j100,功率,读数
- 短路容址也称短路功率,已知SB=100MVA,I?t=0.8,则SB为()MVA。
(A)40 (B)80 (C)113 (D)190
- 在短路的实用计算中,通常只用()的有效值来计算短路功率。
(A)非周期分世电流(B)短路全电流(C)短路电流自由分狱(D)周期分量电流
- 在下列无功电源中,无功功率控制性能最差的是()。
(A)同步发电机(B)同步调相机(C)并联电容器(D))静止补偿器
- 有一条100km的220kV输电线路,线路毎公里的参数r0+jx0=0.08+j0.33Ω,b0=2.85x1O-6S,已知首端实际电压为230kV,末端...
- 已知某一电力网络及其参数如题4-29图所示,忽略电压降落的横分量,则节点③的电压U3为()。
(A)110.22kV(B)109.43kV(C)114....
- 我国电力网络目前的平均额定电压主要有()。
(A) 3.15kV,6.3kV,10.5kV,36.75kV,115.5kV,231kV,346.5kV,...
- 变压器二次绕组的额定电压()。
(A)与相连母线电压相同 (B)比相连母线电压髙5%
(C)比相连母线电压髙10% (D)比相连母线电压高10%或5%
- 电力网络的额定电压等于()的额定电压。
(A)发电机 (B)升压变压器(C)电力线路 (D)降压变压器
- 在图1. 1-21的4个耦合电感中,哪个互感电压方向的标注是完全正确的?
- 在图1.1-8电路中,Is =2 A,求该独立电流源供出的功率。