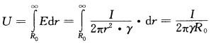
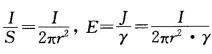
一半径1m的半球形导体球当作接地电极埋于地下,其平面部分与地面相重合,土壤的电导率γ= 10-2S/m,则此接地体的接地电阻为( )。A. 15. 92Ω...
相关内容:半径,球形,导体,接地,电极,埋于,地下,平面,部分,面相,重合,土壤,电导率,电阻
- 三相系统短路类型中属于对称短路的是()。
(A)单相短路接地(B)三相短路 (C)两相短路 (D)单相短路接地
- 我国目前()kV及其以下的电力网络的中性点采用不接地的方式。
(A)110 (B)35 (C)10 (D)220
- 我国目前()kV及其以上的电力网络的中性点采用直接接地的方式。
(A)110 (B)35 (0)220 (D)1O
- 三相系统短路类型中属于对称短路的是()。
(A)单相短路接地(B)三相短路 (C)两相短路 (D)单相短路接地
- 我国目前()kV及其以上的电力网络的中性点采用直接接地的方式。
(A)110 (B)35 (0)220 (D)1O
- 下列造成短路的原因中属于人为原因的是()。
(A)鸟兽跨接在裸露的载流部分 (B)运行人员带负荷拉刀闸
(C)雷电造成避雷器动作 (D)大风引起架空线...
- —台Y/△—11连接的三相变压器,其额定容饿SN=5600kVA,额定电压U1N/U2N=35/6.3kV,短路电阻Rk=2.07短路电抗Xk=16.2Ω...
- 一台三相同步电动机的同步电抗Xc=5.8Ω,UN=380V,IN=25.3A,cosψ=0.9,不计定子电阻,Y接法。额定状态运行时的空载电动势E0=25...
- 一台隐极同步发电机并于无穷大电网运行,其每相额定电压UNP=6.3kV,额定电流IN=572A,cosψN=0.8(滞后),Xc=5.3Ω,不计定子电阻,...
- —台单相变压器的额定容量SN=200kVA,额定电压U1N/U2N=1/0.23kV,一次绕组电阻=0.10,漏电抗X1=0.16Ω,励磁电阻Rm=5.5...