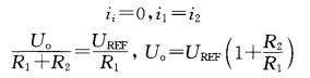
如图所示电路中,A为理想运算放大器,三端集成稳压器的2、3端之间的电压用UREF表示,则电路的输出电压可表示为( )。
相关内容:如图,电路,理想,运算,放大器,三端,集成,稳压器,端之,电压
- —台单相变压器的额定容量SN=200kVA,额定电压U1N/U2N=1/0.23kV,一次绕组电阻=0.10,漏电抗X1=0.16Ω,励磁电阻Rm=5.5...
- —台三相变压器的额定电压U1N/U2N=10/0.4kV,连接组为Y/△—11,该变压器的变比为()。
(A)25 (B)18.4 (C)14.4 (D...
- Ip=0.5,短路发生在发电机电压母线时,短路电流的最大有效值I im为()。
(A)0.81(B)0.755 (C)0.78 (D)0.5
- 某台发电机额定有功功率25MW,额定电压10.5kV,额定功率因数0.85,则该发电机以额定功率因数运行,可发无功功率为()MVar。
(A)15.5 ...
- 已知某条长80km220kV的线路,末端空载,则首端电压幅值U1与末端电压幅值U1之间的关系是()。
(A)U2>U1 (B)U21 (C)U2=U1 ...
- 有一条100km的220kV输电线路,线路毎公里的参数r0+jx0=0.08+j0.33Ω,b0=2.85x1O-6S,已知首端实际电压为230kV,末端...
- 一条阻抗为10+j_3011的110kV线路,取基准功率SB=100MVA,基准电压为各级平均额定电压,那么该线路阻抗的标幺值为()。
(A)0.075...
- 我国电力网络目前的额定电压主要有()。
(A) 3kV,6kV,10kV,35kV,110kV,220kV,330kV,500kV
(B) 3kV,6...
- 不直接和发电机相连的变压器一次绕组的额定电压()。
(A)等于相连线路的额定电压 (B)比相连线路的额定电压髙5%
(C)比相连线路的额定电压高10%...
- 电力网络的额定电压等于()的额定电压。
(A)发电机 (B)升压变压器(C)电力线路 (D)降压变压器