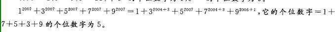
的值的个位数是( )。 A. 5 B. 6 C. 8 D. 9

作者: tihaiku 人气: - 评论: 0
问题 的值的个位数是( )。 A. 5 B. 6 C. 8 D. 9
选项
答案 A
解析 (1)1的任何次幂都是1; (2)30= 1,31=3,32 = 9,33=27,34=81,即 34k的个位数字为 1,34k+1 的个位数字为 3,34k+2 的个位数字为9,34k+3的个位数字为7; (3)50= 1,5的其他正整数幂次个位数字都是5;个位数字为 7, 74k+2的个位数字为9,74k+3的个位数字为3; (5)90=1,91=9,92=81, 92k的个位数字为l,92k+1的个位数字为9。

猜你喜欢

发表评论
更多 网友评论0 条评论)
暂无评论

Copyright © 2012-2014 恰考网 Inc. 保留所有权利。 Powered by tikuer.com

页面耗时0.0347秒, 内存占用1.03 MB, Cache:redis,访问数据库20次